Federal Court of Australia

Howard v Chevron Australia Pty Ltd (No 2) [2025] FCA 1166

File number:

WAD 317 of 2024

Judgment of:

SNADEN J

Date of judgment:

22 September 2025

Catchwords:

PRACTICE AND PROCEDURE – interlocutory application for summary dismissal or alternatively, strike out – where applicant is a litigant-in-person – whether applicant has a reasonable prospect of successfully prosecuting causes of action under ss 340, 351 and 789FD of the Fair Work Act 2009 (Cth) (“FW Act”) – where applicant has refused to obtain legal advice and otherwise constructively engage with the deficiencies in his concise statement – where costs sought pursuant to s 570 of the FW Act – whether applicant has acted unreasonably so as to require that respondent incur costs – application allowed

Legislation:

Fair Work Act 2009 (Cth), ss 340, 351 and 789FD

Federal Court of Australia Act 1976 (Cth), s 31A

Federal Court Rules 2011 (Cth), r 26.01

Cases cited:

Howard v Chevron Australia Pty Ltd [2025] FCA 650

Division:

Fair Work Division

Registry:

Western Australia

National Practice Area:

Employment and Industrial Relations

Number of paragraphs:

19

Date of last submissions:

29 August 2025

Date of hearing:

15 September 2025

Counsel for the Applicant:

The applicant appeared in person

Counsel for the Respondent:

Ms J Flinn

Solicitor for the Respondent:

Hall & Wilcox

ORDERS

WAD 317 of 2024

BETWEEN:

JASON HOWARD

Applicant

AND:

CHEVRON AUSTRALIA PTY LTD

Respondent

order made by:

SNADEN J

DATE OF ORDER:

22 SEPTEMBER 2025

THE COURT ORDERS THAT:

1.    The proceeding be dismissed.

2.    The applicant pay the respondent’s costs of and incidental to its interlocutory application dated 20 August 2025 in an amount to be assessed in default of agreement in accordance with the court’s costs practice note (GPN-COSTS).

Note:    Entry of orders is dealt with in Rule 39.32 of the Federal Court Rules 2011.

REASONS FOR JUDGMENT

SNADEN J:

1    By judgment dated 20 June 2025, the court resolved to strike out in its entirety the concise statement upon which the applicant, Mr Howard, relied in support of his originating application of 17 October 2024: Howard v Chevron Australia Pty Ltd [2025] FCA 650 (“Howard No 1”; Snaden J). The respondent’s ancillary motion for summary judgment was, in all but one respect, rejected; and Mr Howard was directed, instead, to file an amended concise statement. In so ordering, the court sought, by its reasons, to impress upon Mr Howard the characteristics that that amendment should strive to assume. For the most part, those exhortations reflected what the respondent had, by prior correspondence, already communicated to Mr Howard about the deficiencies that attended his concise statement: Howard No 1, [47]-[53] (Snaden J).

2    Mr Howard filed an amended concise statement on 10 July 2025. It bears little resemblance to its original form. It is clear that Mr Howard expended considerable energy in preparing it and, in so doing, made at least some effort to heed the concerns that were set out in Howard No 1.

3    That notwithstanding, the respondent (via the agency of its solicitors) wrote to Mr Howard on 4 August 2025 about (amongst other things) the content of his amended concise statement. By that correspondence, it was suggested to Mr Howard that the amended concise statement remains objectionable in its form, in that (by way of broad summary) it:

(1)    continues to voice conclusory allegations without alleging the factual bases upon which those conclusions might be established;

(2)    purports to press for relief that the court is unambiguously not competent to grant;

(3)    continues to make unparticularised allegations about “adverse action” (within the meaning that pt 3-1 of the Fair Work Act 2009 (Cth) (“FW Act”) contemplates by that phrase) to which Mr Howard says (or appears to say) that he was subjected during the course of his former employment with the respondent;

(4)    continues to make unparticularised allegations about the possession, exercise or proposed exercise of “workplace rights” (within the meaning that pt 3-1 of the FW Act contemplates by that phrase).

4    The respondent’s 4 August 2025 correspondence invited Mr Howard to redraw his concise statement and indicated that, were he to do so and subsequently seek the court’s leave to file it in an unobjectionable further amended form, there would be no opposition from the respondent to the grant of that leave.

5    Mr Howard did not take up that offer, nor otherwise reflect on the matters that the respondent had set out in its correspondence. On 15 August 2025, the matter came before me for case management, at which point the respondent, through its counsel, indicated its intention to file a second application for summary judgment or, alternatively, strike-out. Orders were made to accommodate the filing and service of that application, as well as related evidence and submissions. The respondent was to file its application by 4:00pm on 20 August 2025.

6    It did not do so. Instead, it filed its application at 4:56pm on 20 August 2025, nearly an hour after the time reserved for that purpose by the court’s 15 August orders. Most litigants would not be troubled by such an immaterial default; but Mr Howard considered that it reflected a belief on the part of the respondent that “…they will basically be able to do whatever they want”. He chose thereafter to ignore the application as though it were void. He did not (as the orders made on 15 August contemplated) respond to the respondent’s submissions that were filed in support of the application on 29 August 2025.

7    It is necessary to say something about the interlocutory application that was filed on 20 August 2025. By it, the respondent seeks relief in the nature of summary judgment under s 31A of the Federal Court of Australia Act 1976 (Cth) and r 26.01 of the Federal Court Rules 2011 (Cth) on the basis that Mr Howard has failed to disclose that his suit is premised upon any reasonable cause of action. Alternatively, it seeks, for a second time, to have Mr Howard’s concise statement struck out in its entirety on account of the deficiencies that are summarised above.

8    I do not propose to rehearse again the principles that guide the court in the exercise of its discretion to grant relief in either of the forms for which the respondent now moves. They are set out in Howard No 1, and are, in equal measure, notorious and undisputed.

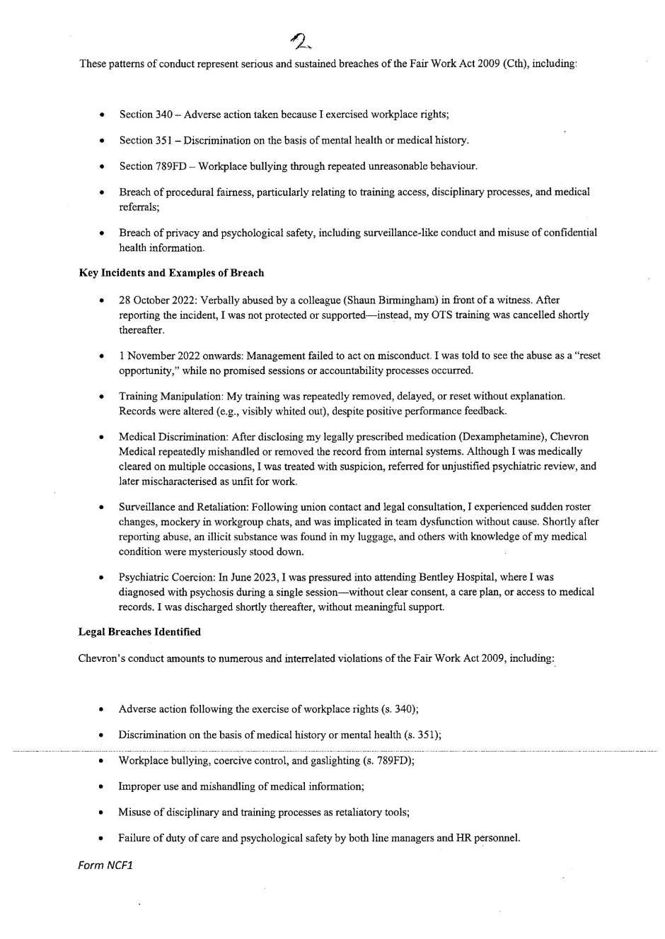
9    As it was in its original form, Mr Howard’s amended concise statement is unambiguously deficient and I have no hesitation in accepting that the court must grant relief in one of the two forms for which the respondent moves. There is nothing to be gained in spelling out in chapter and verse the nature of the deficiencies. Doing so would be an exercise in repetition: both of the exhortations that I set out in Howard No 1 and of the helpful and detailed correspondence that the respondent’s lawyers sent to Mr Howard on 4 August 2024 (in particular, the five-and-a-half page annexure thereto, which traverses in detail—and fairly—the problems that attend the document). I will, instead, annex to these reasons a copy of Mr Howard’s amended concise statement. The deficiencies inherent in it will be unambiguously apparent upon even the most cursory of reviews.

10    The more difficult question is the form of relief that the court should issue. Largely for the reasons that I identified in Howard No 1, I remain of the view that there is enough in the material that Mr Howard has articulated to support the view that he potentially has a cause or causes of action that might permit of proper expression in a properly-drawn concise statement. At the level of principle, the court should be very reluctant in that universe to grant relief in the form of summary judgment. If it were possible to consider that there was some realistic prospect that an unobjectionable pleading might be drawn and relied upon, I would think, as I said in Howard No 1, that summary judgment would be inappropriate; and would, instead, be minded to require that Mr Howard again re-draw his claim.

11    It is a matter of some regret that I have formed the contrary view. At the hearing of the respondent’s interlocutory application on 15 September 2025, I made clear to Mr Howard that his amended concise statement remained objectionable in its form. I explored with him whether there was some possibility that he might obtain legal assistance in preparing a further version. He responded by saying that he would not consult with a lawyer because he considered that they would be “colluding with Chevron”. He indicated that his amended concise statement was his “best crack” and appeared to suggest that he was not interested in the criticisms of it that the respondent set out in its 4 August 2025 correspondence because he was not minded “…to take these guys’ word on anything”.

12    Mr Howard appears to be implacably convinced that he is the target of a broad-ranging conspiracy that extends beyond his prior employment with the respondent. In exchanges with the court, he made plain that he considers that the criticisms that the respondent has levelled against his amended concise statement are a reflection of its ongoing campaign against him. He appears to consider that it has co-opted others to assist it in that campaign, including at least some members of the legal profession and, howsoever it might be, representatives of “defence housing”.

13    I draw those conclusions from the exchanges that I had with Mr Howard during the hearing of 15 September 2025. In particular, it is worth rehearsing the following exchange:

MR HOWARD: …I’m never going to meet your expectations, so you may as well just make a decision today.

HIS HONOUR: Make what decision?

MR HOWARD: I don’t know. Strike it out or – what’s the point of today? What’s – what are we going to get out of today then? I don’t want to get strung down the road, you know, do this, do this, do this, do this for however – how long? I don’t need to. It’s wasting my time. The first time ..... this isn’t good enough. Unless you can do a full investigation into the way they do things, you can’t prove anything, apparently.

HIS HONOUR: I’m not here to – Mr Howard, the court is not here to prove anything. The court is here to answer whether something you’ve alleged has been proved, or whether the respondent has disproved it. I don’t conduct investigations. I

MR HOWARD: Yes, well, you clearly don’t think I can prove anything then, so just make a decision. If you – if my concise statement’s not good enough.

HIS HONOUR: We’re not at the point of proof, and I tried to make this clear in the judgment. We’re not concerned with proof here. We’re concerned with allegation.

MR HOWARD: Yes, well, what do you want? ..... have my concise statement. What do you want me to say then?

HIS HONOUR: Well, I don’t want you to say anything. I want you to

MR HOWARD: Again, I’m representing myself first time .....

HIS HONOUR: …there are challenges that go with that, that I understand, which is why I’m going to the lengths that I’m going to, to try and assist you, perhaps even a little bit further than I should be going, but I can lead you to water, I can’t make you drink. I’m not going to tell you what you should say, because I don’t know what your case is. I don’t know what you should say, but I’ve got to tell you, Mr Howard, there are real difficulties understanding: (a) what it is you say happened to you, with proper particularity, what it is that you say happened to you. You tend to describe things at a very high level – in a very high-level, narrative, conclusory way. It’s very hard to understand, and I don’t understand the constituent factual allegations that you’re going to try and prove when this matter gets to trial.

I don’t understand how it is that you say that the things that happened to you, happened in contravention of various sections of the Act. You haven’t – you just haven’t spelt that out with the requisite level of particularity, and what I’m really looking for here, Mr Howard, is some indication that you’re going to take these observations on board, and do your best to have another go, because if there’s no prospect of that – this is Ms Flinn’s point. If there’s no prospect of that, then giving you another go would just be a waste of everyone’s time; you understand?

MR HOWARD: Yes. It sounds like giving me a go is a waste of everyone’s time. I’m not going to get a lawyer. I don’t know how I’m going to make it sound any better for you. I agree. We’re just – we’re wasting time ..... Like I said, I was seeing a lawyer, they colluded. I can’t go through the lawyer path. I’m not going down a lawyer path again, because I’ve wasted so much money on the first one.

HIS HONOUR: You’re saying

MR HOWARD: When I was employed; right?

HIS HONOUR: there is no lawyer that you would think is independent from Chevron?

MR HOWARD: No, no. After ..... and going through that stage, they just went back and forth while I was employed, and then I went to ..... who completely dodged me, knowing that I was going into this case and into this position. So I don’t – yes, I’ve lost complete trust in the legal system.

14    I am conscious that Mr Howard remains self-represented and that the court should be astute to ensure that he is not unduly burdened by the limitations with which that is inevitably associated. I note, in that regard, the helpful submissions that his father made at the hearing of 15 September 2025, which were to similar effect.

15    Regardless, it is not possible to progress the matter in any sensible way on the present form that Mr Howard’s concise statement assumes. Howsoever regrettably, I have been driven to the view that there is no prospect that Mr Howard will be able to see past his animus toward the respondent and those that he believes are aligned with it—nor beyond the conspiracy to which he is convinced that he is being subjected—to a point that he might constructively reflect upon what has been said to him, both by the respondent and by the court. Without that level of constructive engagement, there is no prospect that Mr Howard will articulate, in a further amended concise statement, any case that sensibly permits of intelligent rejoinder.

16    Absent that possibility, the court should not indulge Mr Howard any further. I am satisfied that it is appropriate to summarily dismiss Mr Howard’s originating application on the basis that he has no reasonable prospect of successfully prosecuting his proceeding.

17    There is a final issue to resolve: namely, that of costs. It is plain enough that Mr Howard sought to base his case in part upon causes of action conferred by the FW Act. Section 570 thereof prohibits, subject to exceptions, the making of costs orders in such proceedings. The respondent submits that the circumstances that present now fall within one of those exceptions, in that its prosecution of the present application has been necessitated by conduct of Mr Howard’s that is properly described as unreasonable. Specifically, the respondent maintains that it was unreasonable for Mr Howard to simply ignore the criticisms of his amended concise statement that the respondent set out in its correspondence of 4 August 2025; and otherwise to persist with his reliance upon that statement and the obvious deficiencies that attend it.

18    Other than to indicate that the respondent had “ruined [his] life” and that he would take a “prison sentence” in preference to paying any costs, Mr Howard did not say anything in opposition to the costs submissions that the respondent advanced. I do not consider that there is much that he might sensibly have said.

19    For much the same reasons as I was minded to make a costs order in Howard No 1, so too is there occasion to do so now. Mr Howard ought to have reflected upon the respondent’s 4 August 2025 correspondence and ought to have made some effort to address the legitimate criticisms that were thoughtfully articulated by it. His refusal to do so was unreasonable. There is no doubt that the respondent has incurred costs as a result of that unreasonable conduct and it should have the benefit of an order allowing their recovery.

I certify that the preceding nineteen (19) numbered paragraphs are a true copy of the Reasons for Judgment of the Honourable Justice Snaden.

Associate:

Dated:    22 September 2025


SCHEDULE 1